| Livestock Research for Rural Development 26 (8) 2014 | Guide for preparation of papers | LRRD Newsletter | Citation of this paper |
La metodología de los modelos aditivos generalizados con suavizaciones (GAMs) es una alternativa para describir la curva de crecimiento, de forma precisa y ajustada a la naturaleza de los datos. El objetivo de este estudio fue describir el crecimiento ponderal en búfalos a través de un modelo aditivo generalizado con funciones suavizadas. Se emplearon 124,264 registros de peso vivo tomados al nacimiento, destete, 12, 24 y 36 meses de edad de 30,654 búfalos (hembras y machos) mestizos provenientes de cuatro fincas con sistema doble propósito, ubicados en el departamento de Córdoba, Colombia. El modelo incluyó el efecto aleatorio del animal dentro de finca, los efectos fijos finca, mes de pesaje, año de nacimiento y la edad como función suavizada. Tanto los efectos fijos como el aleatorio fueron estadísticamente significativos (p<0.05) en ambos sexos. El efecto de la edad suavizada fue significativo (p<0.001). La mayor tasa de crecimiento se presentó durante el período comprendido entre el nacimiento y el destete, tanto en hembras como en machos. Los valores medios de peso al destete fueron 164 ± 9.7 kg y 160 ± 14.6 kg, al año 214 ± 9.6 kg y 206 ± 13.2 kg, a la edad de dos años 376 ± 10.2 kg y 333 ±16.1 kg, y a los tres años de 493 ± 7 kg y 435 ± 13.1 kg, para machos y hembras, respectivamente. Se concluye que los GAMs pueden ser una buena alternativa para modelar la curva de crecimiento en búfalos.
Palabras clave: ganado bufalino, incremento de peso, suavizaciones
The methodology of generalized additive models with smooth functions (GAMs) is an alternative to describe the growth curve because it is precise and adjusted to the nature of data. The aim of this study was to describe body weight growth in buffaloes using GAMs. One hundred twenty-four thousand two hundred sixty-four records of body weight at birth, weaning, 12, 24, and 36 months of age were used. The records were collected from 30,654 female and crossbred male buffaloes from four dual-purpose farms located in Córdoba, Colombia. The model included the random effect of animal within farm and the fixed effects of farm, weighing month, year of birth and age as a smoothed function.
Both fixed and random effects were statistically significant (p < 0.05) for both sexes. The smoothed age effect was also significant (p < 0.001). The highest growth rate occurred during the period between birth and weaning. The weight average for males and females were 164 ± 9.7 kg and 160 ± 14.6 kg at weaning, 214 ± 9.6 kg and 206 ± 13.2 at one year, 376 ± 10.2 kg and 333 ± 16.1kg at two years and 493 ± 7 kg and 435 ± 13.1 kg at three years of age. It is concluded that GAMs can be a good alternative to model the growth curve in buffaloes.
Key words: buffaloes, smooth functions, weight increase
El búfalo es un bovino proveniente de Asia actualmente distribuido en todos los continentes, donde se ha valorado por su potencial en la producción de carne, leche y labores de trabajo. En Colombia, durante los últimos años, la producción de esta especie ha tenido un incremento significativo debido a su óptima adaptación a las condiciones agroecológicas del trópico bajo, convirtiéndolo en una alternativa para los ganaderos de estas zonas del país (Angulo et al 2005). Varios autores han afirmado que el búfalo presenta un mejor desempeño que los vacunos en función de su mayor capacidad de adaptación a suelos pantanosos y de baja fertilidad, además de poseer buena aptitud para digerir forrajes de baja calidad nutricional y transformarlos en alimentos de alto valor biológico (Franzolin 2002; Oliveira 2005; Montiel 2008; Basttianeto 2009).
La mayoría de los rebaños bufalinos en Colombia se destinan a la producción de carne; sin embargo, en las últimas décadas la tendencia de los sistemas de producción es hacia el sistema de doble propósito, caracterizado éste por tener bajos costos de producción y utilizar animales cruzados (Ortega et al 2007). Lo anterior, está asociado a factores económicos y de mercado, puesto que la leche de búfala se paga 30% más cara que la leche de vaca (Agudelo et al 2007; Cervantes et al 2010). Con respecto a la producción de carne, los animales criados bajo el sistema de doble propósito presentan menores ganancias de peso y mayor edad al sacrificio (Bolívar et al 2012a). No obstante, diversos estudios han catalogado al búfalo como un animal de desempeño superior a los vacunos en diversas condiciones de alimentación y manejo, mostrando ganancias de peso satisfactorias gracias a su capacidad de aprovechar más eficientemente las pasturas (Marques et al 2006). Dadas estas características es trascendental conocer la dinámica de crecimiento que experimentan los búfalos así como los factores intrínsecos que influyen en su desarrollo, a fin de determinar de forma confiable los parámetros productivos de interés económico para los ganaderos e implementar programas de mejora genética.
De acuerdo con Agudelo et al (2008) la evolución del aumento de peso vivo a lo largo de la vida de los bovinos depende de la edad, ya que el animal experimenta cambios progresivos desde el nacimiento hasta la adultez. Dichos cambios se ven afectados por factores genéticos y ambientales como el manejo, el estado de salud, condiciones climáticas y principalmente la alimentación, que tienen mayor impacto en las épocas iniciales del crecimiento.
Una de las herramientas para medir la eficiencia en cuanto a producción de carne es el uso de modelos matemáticos que permitan estimar parámetros relacionados con el crecimiento y realizar evaluaciones en diferentes estados de desarrollo de los animales (Kratochvílová et al 2002; Agudelo et al 2007).
La curva de crecimiento en búfalos ha sido estudiada utilizando modelos lineales y no lineales (Bolívar et al 2012a; Malhado et al 2008; Fundora et al 2006; Agudelo et al 2009; Verena et al 2009). Los modelos no lineales no logran dar una explicación clara sobre las tasas medias de crecimiento en la curva, ya que estas varían de acuerdo a la etapa fisiológica de la vida del animal por lo cual se hace necesario obtener funciones que se ajusten a todos los valores observados (Agudelo et al 2008). Por otra parte, los modelos lineales asumen que los datos siguen una distribución normal y que la relación entre la variable respuesta y las covariables es lineal; sin embargo, muchas veces los datos no cumplen dichos supuestos imposibilitando el uso de estos métodos paramétricos.
Actualmente, una alternativa no paramétrica para el análisis de datos longitudinales son los modelos aditivos generalizados (GAMs, por sus siglas en inglés Generalized Additive Models). Estas técnicas ofrecen una opción más adecuada en la exploración de datos correlacionados reduciendo la dispersión de las estimaciones de las variables biológicas. Los GAMs utilizan funciones aditivas suavizadas a través de las cuales se establece una relación entre la media de una variable respuesta y la función suavizada de las variables explicativas, logrando un mejor ajuste de los datos (Riedel e Imre 1992; Guisan et al 2002; Piet 2002; Katsanevakis y Maravelias 2009; Laver et al 2012).
El objetivo de este estudio fue describir la curva de crecimiento en búfalos, a partir de las medidas de peso vivo tomadas en diferentes edades utilizando modelos aditivos generalizados con funciones suavizadas.
El estudio incluyó 124,264 registros de peso vivo tomados al nacimiento, destete, 12, 24 y 36 meses de edad, correspondientes a 30,654 búfalos mestizos (machos y hembras) nacidos entre los años 1995 y 2014. Los animales pertenecían a cuatro haciendas localizadas en los municipios de Ayapel, Montería, Buenavista y Tierralta en el departamento de Córdoba, Colombia. Esta región pertenece a la zona ecológica Bosque Húmedo Tropical. Las coordenadas geográficas y las principales características climáticas de los municipios se pueden observar en la Tabla 1. El sistema de producción consistió en pastoreo rotacional en potreros con predominio de gramas naturales y Brachiaria sp. Las crías fueron manejadas bajo un sistema de amamantamiento libre hasta los 12 días de edad y luego amamantamiento restringido con pastoreo rotacional hasta el destete. Posterior a este, los animales fueron agrupados por sexo y se sometieron a un sistema de pastoreo rotacional.
|
Tabla 1. Coordenadas geográficas y principales características climáticas de los municipios. |
||||
|
Municipio |
Coordenadas |
Altitud m.s.n.m. |
Precipitación media anual mm/año |
Temperatura media °C |
|
Ayapel |
8° 18′ 45″ Latitud Norte 75° 8′ 42″ Longitud Oeste |
20 |
2277 |
28 |
|
Montería |
8°44′52″ Latitud Norte 75°52′53″ Longitud Oeste |
18 |
1249 |
31 |
|
Buenavista |
8°13′24″ Latitud Norte 75°28′54″ Longitud Oeste |
60 |
2265 |
28 |
|
Tierralta |
8°10′22″ Latitud Norte 76°03′34″ Longitud Oeste |
51 |
1992 |
28 |
Para describir y evaluar la curva de crecimiento se empleó un modelo aditivo generalizado con estimaciones suavizadas (GAMs). Las variables predictivas fueron seleccionadas partiendo de un modelo donde se incluyó únicamente el efecto suavizado del día de pesaje, después se fueron añadiendo e intercambiando más covariables hasta obtener el mejor modelo según los parámetros del criterio de información de Bayes (BIC). El modelo lineal óptimo integró el efecto anidado del animal dentro de finca, los efectos finca, mes de pesaje, año de nacimiento y edad como variable suavizada.
Los análisis estadísticos se realizaron para hembras y machos por separado. La construcción de los modelos y de las gráficas se llevó a cabo usando la librería “gamm4” (Wood y Scheipl 2014) del software R-project (R Core Team 2014) con error de distribución gaussiana.
El modelo fue el siguiente:

Donde:
yijklm= i-ésimo registro de peso del animal en el m-ésimo día de pesaje dm.
βo= Intercepto.
Ai= Efecto aleatorio de animal dentro de finca.
Fj = Efecto fijo de finca.
Mk= Efecto fijo del mes de pesaje.
Nl= Efecto fijo del año de nacimiento.
s(dm= Función suavizada no parametrizada del m-ésimo día de pesaje (Edad).
εijklm= Efecto residual
De acuerdo al análisis, tanto en machos como en hembras, el efecto aleatorio del animal dentro de finca fue significativo (p<0.05) con varianzas fenotípicas para el peso adulto de 604 kg2 y 521 kg2 en machos y hembras, respectivamente. Estos resultados evidencian que existen factores genéticos del animal y ambientales como el sistema de manejo en cada finca, que afectan directamente el peso de los individuos. Los efectos mes de pesaje y año de nacimiento presentaron diferencia significativa (p<0.05) y están relacionados intrínsecamente con características ambientales que determinan la oferta forrajera en cada época. Por su parte, la covariable día de pesaje (edad) fue significativa (p<0.001) con noveno grado de suavización.
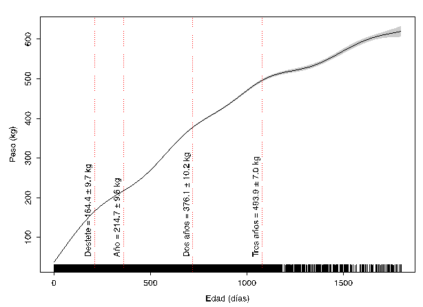
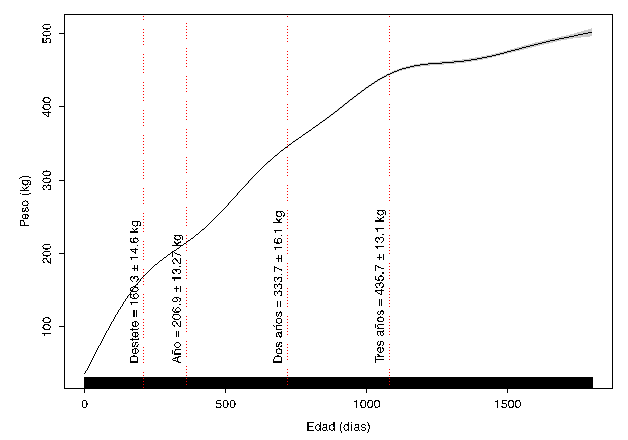
En las Figuras 1 y 2 se observa que la trayectoria de la curva de crecimiento obtenida a través de los modelos aditivos generalizados con suavizaciones fue polifásica en ambos sexos. La mayor tasa de crecimiento se observó durante la etapa comprendida entre el nacimiento y el destete, mostrando ganancias medias de 623 g/día y 602 g/día para machos y hembras, respectivamente. A partir del destete (205 días de edad) se inicia una fase de desaceleración del crecimiento que se extiende hasta la pubertad. En este periodo las ganancias de peso por unidad de tiempo fueron más pequeñas, en promedio de 403 g/día en machos y 330 g/día en hembras. Lo anterior podría estar influenciado por la modificación en el régimen alimenticio, cambios en las épocas del año o por el efecto de un periodo de profundas transformaciones endocrinas que obliga a pensar que la producción de ciertas hormonas ejerce una acción decisiva sobre el proceso del crecimiento (Bavera et al 2005; Menchaca et al 1996).
Estos resultados coinciden con lo reportado por Agudelo et al (2008), quienes señalan que los búfalos crecen en forma lenta durante el primer mes posparto y después inicia una fase de rápido crecimiento hasta alcanzar la pubertad. El mismo autor indica que esta dinámica es la responsable de que entre los 6 a 9 meses se presente un primer punto de inflexión que se corresponde con el valor máximo de la curva de crecimiento corriente.
Fundora et al (2006) en un estudio llevado a cabo en Cuba, encontraron que para las hembras bufalinas el máximo ritmo de crecimiento se presenta entre los 21 y 26 meses de edad con una media de 370 kg, mientras que antes de los 5 y a partir de los 40 meses es muy lento con ganancias de peso inferiores a los 7 kg por mes.
Según las gráficas, aproximadamente a los 500 días de edad los animales incrementan su peso vivo de forma lenta y constante hasta que llegan a la madurez, fase fisiológica en la cual se evidencia una auto-inhibición o desaceleración que coincide cuando alcanza el peso adulto, donde las tasas de ganancia y de pérdida muestran un cambio en el equilibrio y la curva que representa el crecimiento se convierte en curvilínea.
En comparación con otros modelos lineales y no lineales, la curva de crecimiento en búfalos obtenida a través de GAMs es más ajustada y precisa, debido a que éstos permiten la discontinuidad de las derivadas de orden superior en algunos puntos, ofreciendo funciones polinómicas por partes, con propiedades de aproximación, estabilidad y convergencia superiores.
![]() |
| Figura 1. Curva de crecimiento de búfalos en sistemas de producción colombiano |
![]() |
| Figura 2. Curva de crecimiento de búfalas en sistemas de producción colombiano. |
Según Arango y Van Vleck (2002), la estimación del peso maduro a través de curvas de crecimiento sólo es confiable cuando los datos de peso existentes corresponden a una edad superior a los 4.5 años. Teniendo en cuenta lo anterior, en el presente estudio sí fue posible estimar el peso adulto ya que se analizaron datos superiores a dicha edad. En la trayectoria de la curva se observó que a los tres años de edad se presenta el segundo punto de inflexión, determinado por la desaceleración del crecimiento. Estos resultados son similares a los encontrados por Fundora et al (2006) quienes reportan que las búfalas crecen de forma lineal hasta aproximadamente los 30 meses, estabilizando su crecimiento a partir de este momento y hasta los 42 meses. Sin embargo, Oliveira et al (2005) indican que las bubillas no alcanzan su peso adulto a los 36 meses ya que continúan creciendo y ganando peso hasta después de esa edad.
En cuanto a los valores de peso corporal estimados a diferentes edades, los datos obtenidos en este trabajo son similares a los reportados en Colombia por Bolívar et al (2012b) quienes encontraron un peso al destete de 182 ± 42.5 kg; 201 ± 38.7 kg al año de edad y 363 ± 54.4 kg a los dos años. Sin embargo, Angulo et al (2006) y Agudelo et al (2009) observaron valores superiores a la edad del destete y a la edad al sacrificio, debido a que en sus estudios analizaron pesajes de animales alimentados a toda leche. Los datos hallados por Echeverri (2006) son menores a los de este trabajo, con pesos promedio al año de 157 kg para butoretes Murrah y Bufalipso. Igualmente, para la edad de 22 meses el Murrah alcanzó un peso de 366 kg y el Bufalypso 315 kg. Crudeli y Korad (2013) en Argentina evaluaron el crecimiento de hembras y machos bubalinos de raza Mediterránea concluyendo que los machos pesaron en promedio 282 kg, 336 kg, 443 kg y 505 kg al destete, 18, 24 y 36 meses de edad, respectivamente, con ganancias de peso de 335 g/día a partir del destete hasta los dos años de edad, siendo superiores a los calculados en este estudio. Los valores medios para hembras a los 24 meses de edad, señalados por Madella-Oliveira et al (2006) (376 ± 42.3 kg) y los de Jorge et al (2005) (389 ± 31.3 kg) son semejantes a los determinados en esta investigación. Con respecto al peso estimado a los 36 meses, se observó que es análogo al hallado por Fundora et al (2003) quienes encontraron un peso final de 440 kg con ganancias de 567 g/día para búfalos machos alimentados con pasto estrella y menores a los determinados por Madella-Oliveira et al (2006), con peso final de 574.61± 47.6 kg y Marques et al (2006) (538.0 kg) en la raza Carabao.
La discrepancia de los valores de peso vivo estimados con respecto a la edad de los animales en los distintos trabajos puede atribuirse a varios aspectos, principalmente a la raza, el ambiente en el que se desarrollan y al método estadístico empleado para el análisis de los datos ya que ciertos modelos pueden subestimar o sobreestimar los valores.
Al comparar la curva de machos y hembras, se observó que la tasa de crecimiento entre sexos comienza a divergir desde muy temprana edad, exhibiendo la superioridad de los machos con respecto a las hembras en cuanto a peso corporal y ganancia media diaria. Sin embargo, la mayor diferencia se observa a partir de los dos años de edad y cuando alcanzan el peso adulto.
Lo anterior reviste importancia desde el punto de vista práctico al indicar que las hembras pueden incorporarse más rápido a la reproducción porque han completado prácticamente su crecimiento. Madella-Oliveira et al (2006) menciona que las hembras bubalinas alcanzan su madurez sexual a los 26 meses en promedio con un peso corporal de 394.5 ± 22.4 kg, datos cercanos a los encontrados en el presente estudio.
La curva de crecimiento en búfalos estimada a través del modelo GAMs tuvo una trayectoria curvilínea observándose dos puntos de inflexión, el primero en el destete y el segundo a la edad de 36 meses, tanto en hembras como en machos.
Los modelos GAMs se ajustaron de forma correcta a la naturaleza de los datos permitiendo identificar momentos importantes en el crecimiento de los animales y lograr hacer estimaciones y predicciones precisas.
Los autores agradecen el apoyo financiero para este estudio a La Asociación Colombiana de Criadores de Búfalos ACB y al grupo GaMMA por el proyecto “Modelos de regresión aleatoria e índices de selección en ganado bufalino doble propósito en Colombia” CODI Mediana Cuantía y a la estrategia de sostenibilidad 2013 CODI E01727. Los dos primeros autores son jóvenes investigadores Colciencias
Agudelo Gómez D A, Cerón Muñoz M F and Hurtado Lugo A 2007 El búfalo como animal productor de carne: producción y mejoramiento genético. Revista Lasallista de Investigación 4 (2), from http://www.scielo.unal.edu.co/scielo.php?script=sci_arttext&pid=S1794-44492007000200007&lng=es
Agudelo Gómez D A, Cerón Muñoz M F y Restrepo L F 2008 Modelación de las funciones de crecimiento aplicadas a la producción animal. Revista Colombiana de Ciencias Pecuarias 21:39-58, from http://rccp.udea.edu.co/index.php/ojs/article/viewFile/330/327
Agudelo Gómez D A, Hurtado Lugo N y Cerón Muñoz M F 2009 Growth curves and genetic parameters in colombian buffaloes (Bubalus bubalis Artiodactyla, Bovidae). Revista Colombiana de Ciencias Pecuarias 22: 178-188, from http://rccp.udea.edu.co/index.php/ojs/article/viewFile/389/387
Angulo R A, Restrepo L F y Berdugo J A 2005 Características de calidad de las canales bufalinas y vacunas comercializadas en Medellín, Colombia. Livestock Research for Rural Development 17 (9), from http://www.lrrd.org/lrrd17/9/angu17103.htm
Angulo R A, Agudelo-Gómez D A, Cerón-Muñoz M F y Jaramillo-Botero S 2006 Genetic parameters in buffalo calves fed at full milk in beef production system in middle Magdalena region of Colombia. Livestock Research for Rural Development 18 (12), from http://www.lrrd.org/lrrd18/12/angu18180.htm
Arango J A and Van Vleck L D 2002 Size of beef cows: early ideas, new developments. Genetics and Molecular Researches 1(1):51-63, from http://www.funpecrp.com.br/gmr/year2002/vol1-1//pdf/gmr0021.pdf.
Basttianeto E 2009 Criação de búfalos no Brasil: situação e perspectiva. Revista Brasileira de Reprodução Animal Supl 6: 98-103, from http://www.cbra.org.br/pages/publicacoes/rbra/download/p98-103.pdf
Bavera G, Bocco O, Héctor B y Petryna A 2005 Cursos de producción bovina de carne, from http://www.produccion-animal.com.ar.
Bolívar D M, Cerón-Muñóz M F and Elzo M A 2012a Postweaning growth of performance-tested buffaloes (Bubalus bubalis, Artiodactyla, Bovidae) reared under no-milking versus a dual-purpose system. Revista Colombiana de Ciencias Pecuarias 25:566-576, from http://rccp.udea.edu.co/index.php/ojs/article/view/819/908
Bolívar D M, Cerón–Muñoz M F, Ramírez E J, Agudelo D A y Cifuentes T 2012b Parámetros genéticos para características de crecimiento en búfalos (Bubalus bubalis Artiodactyla, Bovidae) en Colombia. Revista Colombiana de Ciencias Pecuarias 25:202–209, from http://rccp.udea.edu.co/index.php/ojs/article/view/776/839
Cervantes A E, Espitia P A y Prieto M E 2010 Viabilidad de los sistemas bufalinos en Colombia. Revista Colombiana de Ciencias Animales 2 (1), from http://www.recia.edu.co/documentos-recia/recia3nuevo/revisiones/3Bufalos_Esperanza.pdf
Crudeli G A y Konrad J L 2013 Evaluación del crecimiento en hembras y machos bubalinos en Argentina. Revista Brasileira de Reprodução Animal 37 (2):115-120, from http://www.cbra.org.br/pages/publicacoes/rbra/v37n2/pag115-120%20(RB478).pdf
Echeverri J 2006 Bufalometria de butoretes, en la Hacienda la Suiza, de propiedad el Fondo Ganadero del Centro, localizada en el Magdalena medio antioqueño. Memorias, III Simposio Búfalos de las Américas.
Franzolin R 2002 Technologies to Improve the Nutritional Efficiency in Buffaloes. American Water Buffalo Association, from http://americanwaterbuffaloassociation.com/Membership/Water%20Buffalo%20Research/Water%20Buffalo%20Technologies%20to%20Improve%20Nutritional%20Efficiency.htm
Fundora O, González M E, Tuero O y Vera A M 2003 Comparación del comportamiento productivo y la conducta de búfalos de río y vacunos acebuados en pastoreo en la etapa de peso vivo- ceba. Revista Cubana Ciencia Agrícola 37 (2): 157, from http://www.redalyc.org/articulo.oa?id=193018061009
Fundora O, Torres V, González M E y Noda A 2006 Curva de crecimiento y peso vivo de un rebaño de búfalos de río. Revista Cubana de Ciencia Agrícola 40 (4), from http://www.redalyc.org/articulo.oa?id=193017672004
Guisan A, Thomas C. Edwards Jr and Trevor Hastie 2002 Generalized linear and generalized additive models in studies of species distributions: setting the scene. Ecological Modelling 157 (89): 100, from http://www.stanford.edu/~hastie/Papers/GuisanEtAl_EcolModel-2003.pdf
Jorge A M, Andrighetto C e Castro V S 2005 Desenvolvimento ponderal de bubalinos da raça murrah criados em pastagens de Brachiaria brizantha no centro oeste do estado de São Paulo, Brasil. Ciência Rural 35 (2), from http://www.fmvz.unesp.br/bufalos/HPBufalos_files/Artigos_Publicados/P-25.pdf
Katsanevakis S and Maravelias C D 2009 Bathymetric distribution of sixteen demersal fish in the Aegean and Ionian Seas, based on generalized additive modelling. Fisheries Science 75(1): 13–23.
Kratochvílová M L, Hyánková H, Knizetová J F and Urban F 2002 Growth curve analysis in cattle from early maturity and mature body size viewpoints. Czech Journal Animal Science 47:125 – 132, from http://www.cazv.cz/2003/2002/ZV%204_02/1-Kratochvil.pdf?gathStatIcon=true
Laver R J, Purwandana D, Ariefiandy A, Imansyah J and Forsyth D 2012 Life-history and spatial determinants of somatic growth dynamics in komodo dragon populations. Plos One 7(9): e45398, from http://www.plosone.org/article/info%3Adoi%2F10.1371%2Fjournal.pone.0045398
Malhado C H M, Ramos A A, Carneiro P L S, Souza J C, Weschler F S, Eler J P y Azevêdo D M M R 2008 Modelos no lineales para describir el crecimiento de bufalinos de la raza Murrah. Archivos de Zootecnia 57 (220): 497-503, from http://www.uco.es/organiza/servicios/publica/az/php/img/web/26_18_40_11ModelosMalhado.pdf
Madella-Oliveira A F, Quirino C R e Fonseca F A 2006 Desenvolvimento ponderal e medidas corporais de bufalos da região sul do estado do Espirito Santo. Congreso de Zootecnia, from http://www.abz.org.br/files.php?file=documentos/R0237_2_606400879.pdf
Marques J R F, Raimundo N C, Camargo J R, Marques L C e Rodrigues A A 2006 Bubalinocultura no Brasil: criação, melhoramento e perspectivas. Associação brasileira de zootecnistas, from http://www.abz.org.br/publicacoes-tecnicas/anais-zootec/palestras/3724-Bubalinocultura-Brasil-Criao-Melhoramento-Perspectivas.html
Menchaca M A, Chase C C, Olson T A and Hammond A C 1996 Evaluation of growth curves of Brahman cattle of various frame sizes. Journal Animal Sciences 74:2140-2151.
Montiel N S 2008 Origen del búfalo en Venezuela. Otra alternativa de producción de leche. Facultad de Ciencias Veterinarias. Universidad del Zulia Maracaibo, pag 370, from http://www.avpa.ula.ve/congresos/memorias_xivcongreso/pdf/conferencias/montiel.pdf
Oliveira A L 2005 Búfalos: produção, qualidade de carcaça e de carne. Alguns aspectos quantitativos, qualitativos e nutricionais para promoção do melhoramento genético. Revista Brasileira de Reprodução Animal 29 (2): 122-134, from http://www.cbra.org.br/pages/publicacoes/rbra/download/RE038.pdf
Ortega L E, Ward R W and Andrew C O 2007 Technical efficiency of the dual-purpose cattle system in Venezuela. Journal of Agricultural & Applied Economics 39: 719-733, from http://ageconsearch.umn.edu/bitstream/37058/2/Ortega%20JAAE%20December%202007.pdf
Piet G J 2002 Using external information and GAMs to improve catch-at-age indices for North Sea plaice and sole. ICES Journal of Marine sciences 59:624-632, from http://icesjms.oxfordjournals.org/content/59/3/624.full.pdf
R Core Team 2014 R, a language and environment for statistical computing. R Foundation for Statistical Computing, Vienna, Austria. ISBN 3-900051-07-0, from http://www.R-project.org/
Riedel K S and Imre K 1992 Smoothing spline growth curves with covariates. New York University. Courant Institute of Mathematical Sciences New York, NY 10012, from http://www.math.nyu.edu/~riedel/smspl6.pdf
Verena O, Sampaio I y Fundora O 2009 Modelo estocástico del comportamiento productivo en la etapa crecimiento de búfalos de agua en Cuba. Revista Cubana de Ciencia Agrícola 43 (2):113-117, from http://www.redalyc.org/articulo.oa?id=193015425002
Wood S N and Scheipl F 2014 Generalized additive mixed models using mgcv and lme4. Package gamm4. Version 0.2-2, from http://cran.r-project.org/web/packages/gamm4/gamm4.pdf
Received 5 June 2014; Accepted 14 July 2014; Published 1 August 2014