| Livestock Research for Rural Development 23 (9) 2011 | Notes to Authors | LRRD Newsletter | Citation of this paper |
This paper deals with designing a cheap and easy-to-attain method
to replace weighing for estimating the body mass of goats. Several models on the
relationship of heart girth (HG) to live weight (LW) were evaluated using Creole
of Guadeloupe goats (376 males and 258 growing females). The best fit was
obtained with a Gompertz model:
which provided an adjusted R² = 0.98 and a 95% confidence
interval of the prediction values below 5% within most of the LW range.
The LW
of breeding goats (420) was fitted by the following quadratic model taking into
account the HG and paunch girth (PG):
which provided an adjusted R² = 0.95 and a 95% confidence
interval of the prediction values below 1% within most of the LW range. The first model allows a tape measure graduated in kg to be used
on goats except breeding females. The second model allows the building of an
abacus to provide the estimated LWs of breeding goats from the HG and PG values.
Further correction might be achieved by adding the goat body condition score.
Such cheap tools should be very useful for goat farmers, most of whom lack
reliable weighing devices.
Keywords: Body condition score, Creole goat, heart girth, live weight, paunch girth
Knowing the body mass of small ruminants is very useful for good animal management, including understanding medication doses, adjusting feed supply, monitoring growth and choosing replacement males and females. The most intuitive way to assess body mass is weighing animals with a spring balance, a steelyard balance or any suitable scale. However, such devices are too expensive for most of small farmers. Using spring or steelyard balances can be painful because animals need to be lifted up. The spring in the scale can permanently stretch with repeated or out-of-bounds use, resulting in biased measurement. Scales must be installed on a horizontal base (concrete floor) and checked regularly for setting and calibration. Any defect in the base building can result in a bias in the measurements, as well as any lack of calibration. Scale calibration and maintenance require skilled technicians. Therefore, the conditions for accurate weighing are seldom met in the field. Moreover, the live weight (LW) is only an estimation of body mass because it varies continuously with feeding, watering, dropping, urinating, breathing, sweating and so on.
The various lengths, heights and girths of live animals are measured to assess the relationship between these variables and the LW, in cattle (Dineur and Thys 1986; Goe et al 2001; Mekonnen and Biruk 2004; Abdelhadi and Babiker 2009), in sheep (Valdez et al 1997; Atta and El khidir 2004; Sowande and Sobola 2008; Kunene et al 2009; Oke and Ogbonnaya 2011) or goat (Mohammed and Amin 1997; Nsoso et al 2004; Adeyinka and Mohammed 2006; Fajemilehin and Salako 2008). However, most of the authors dealt with breed characterization rather than providing farmers with practical tools. Moreover, some of these measurements require accurate knowledge of the anatomy (i.e. body length) or adapted tools (i.e. height and width). For these reasons, this paper deals with girth measurements that are cheap and easy-to-attain for most farmers, and could help in monitoring weight of both growing and breeding goats.
The first aim of this paper is to evaluate the short-term variability of LW and heart girth (HG) values measured on the same individuals. The second aim is to study the relationship between the LW and HG or, if needed, a linear combination of the heart and paunch girth (PG), and build tools for predicting the LW from easy-to-attain body measurements.
All data were collected at the INRA experimental unit in Guadeloupe (FWI, 16°18 N, 61°19 W). The Creole of Guadeloupe goat is a meat-type, medium-sized animal derived mainly from the West African goat introduced during the colonial era. Every goat from the herd was measured at least once during the routine weighing operation. The HG and abdominal circumference, or the PG, measurements were done with a tape measure, as illustrated in Figure 1. The LW was measured with an electronic scale laid on a concrete floor. The measurement uncertainty was estimated to be about 1 cm for the HG and 0.05 kg for the LW.
![]() |
| Figure 1. Heart girth and paunch girth measurement |
LW and HG measurements were taken twice at a three-day interval: the last day the animals spent in a given paddock and two days after they were allowed to graze a new one. Fifty-four goats aged from five days to 12 years were randomly chosen for this study. The LW and HG ranged from 2.05–49.6 kg and 29–87 cm, respectively.
Weight and HG measurements were taken from 609 growing male and female goats (less than one-year-old) and 36 adult male goats (over one-year-old). We supposed that the large variations in the LW were because pregnancy can diminish the accuracy of the HG to LW relationship in adult goats, and we analysed these data separately.
A review of the available literature allowed the collection of data on both the HG and LW from 18 papers. The data were plotted and the fit of the "Creole of Guadeloupe goat equation" was checked. The bias of prediction, i.e. the difference between the LW predicted from the HG and the LW provided by the authors, was tabulated.
For the adult goats, the PG measurement was added to the set of data. Altogether, 425 pieces of HG and PG data were obtained from 237 animals. The goats were measured just before and just after parturition, or about mid-pregnancy. Additionally, 178 body condition score data (arbitrary scale: "A" to "E" from the fattest to the thinnest) were collected.
The individual differences between the two successive measurements divided by
the mean of these measurements was computed for the comparison of the
variability of the LW and HG measurements. The values obtained were compared by
using a paired one-sided t test. Several non-linear models were compared
on the whole dataset from males or growing animals, by examining the adjusted R²
of the expected linear regression between fitted and measured values of the LW.
The models were:

The residuals of the better model were used for discarding 11 outliers, probably
corresponding to errors in the measurement and recording process. Then, the
models were run and compared again on the clean dataset (376 male and 258 female
goats). The final data distribution is illustrated in Figure 2 (left).
![]() |
| Figure 2. Live weight data distribution in growing goats and adult male goats (left) and in breeding female goats (right) |
The prediction accuracy of the two best fitting models was then assessed using a
simple cross validation (Mosteller and Tukey 1987). This procedure consists of
splitting up the sample data into two randomly build subsets, whereby the first
subset (three-quarters of the whole set) serves to estimate the non-linear
regression parameters and predict the values in the second subset. This method
was repeated 2000 times. Each time the adjusted R² of the prediction and
validation values was collected. The predicted LWs corresponding to an
artificial HG dataset (1 cm intervals from the minimum to the maximum value of
the whole HG dataset) were also collected. For each value of the artificial HG
set, the corresponding 0.025 and 0.975 quantiles (Q0.025and Q0.975, respectively)
of the LW estimates were computed for providing the 95% confidence
interval (CI95) of prediction. The accuracy of the models was compared by
plotting the ratio of the CI95/LW estimate (ie:
against
the corresponding LW estimate values (i.e.
.
Additionally, the residuals were submitted to a Shapiro–Wilk normality test and
an ANOVA (Tukey test) to check for a possible sex effect.
For the adult female goat data, two models were compared. The first used a Gompertz function fitted to a linear combination of the HG and PG values:
![]()
The d coefficient was chosen to minimize the residual of the model, with 0 ≤ d ≤ 1. The second model used a quadratic function defined as:
![]()
The quadratic model was further simplified by deleting the coefficients that were not significantly different from zero to allow a better estimation of the remaining coefficients. The models were run and the residual distribution observed. Then, the 5 outliers were discarded and the models were run again for the final parameter calculation. The data distribution is illustrated in Figure 2 (right).
After choosing the best model, the residuals were submitted to a Shapiro–Wilk normality test and then to an ANOVA (Tukey test) with the BCS as the factor. Because of the BCS data distribution (3, 85, 155, 4 and 0 individuals for the BCS classes "A", "B", "C", "D" and "E", respectively), the classes "A" and "B" were pooled together, as were the "C", "D" and "E" classes. The same method as before was used for the cross validation of these two models.
All calculations were done by using the R statistical software (R_Development_Core_Team 2009). The model parameters were estimated by using the nls function from the R Stats package. The ANOVA and Tukey tests were performed by using the R Agricolae package.
The relative uncertainty in measuring the HG varied from about 5% for the smaller animals to 1.25% for the largest. The relative uncertainty in measuring the LW ranged theoretically from 2.5% for the smaller animals to 0.1% for the largest. Despite these statements, the variability of the BW measurement in the same animals (Figure 3) was significantly higher than the variability of the HG (4.51% vs. 2.65 %, respectively, p = 0.0009, paired t test, one-sided). These differences in the same animals were mainly because of the variations in digestive tract content. This indicates that the HG should be a more reliable estimation of body mass than the LW.
![]() |
Figure 3. Variability of the body mass estimation according to the measurement method |
The five models shown in Figure 4 fitted the dataset well (R² = 0.98). However, focussing on the young animals allowed us to discard the allometric and Mitscherlich models, which seemed to fit the corresponding values less accurately. Moreover, the quadratic and cubic models were practically the same because the last coefficient of the cubic model did not differ significantly from zero. Therefore, the quadratic and Gompertz models were used for further analyses (cross validation).
![]() |
Figure 4. Live weight to Heart girth relationship in Creole Goat of Guadeloupe, adult breeding goat excluded. Comparison of non-linear regression models on the whole data set (left). Focus on young animals (right). |
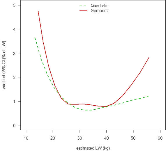
The cross validation of the Gompertz and quadratic models yielded very similar figures. The adjusted R² of the prediction and validation values were always above 0.97. The accuracy of the two models (Figure 5) was also very similar for the values above 10 kg LW, with an empiric confidence interval below 5% of the estimated LW. However, Figure 5 shows that, despite the number of animals weighing less than 10 kg LW that were used for the parameter calculations (Figure 2), the quadratic model was less accurate than the Gompertz one, and this cannot be linked to the uncertainty in the measurements (about 1 cm for HG, about 0.05 kg for LW). For this reason, the Gompertz model seemed to be the best.
![]() |
Figure 5. Width of the empiric 95% confidence interval of prediction of LW from Heart Girth, expressed as a percentage of the estimated live weight (cross validation, 2000 re-samplings) |
There was no sex effect on the HG to LW relationship (p = 0.3), so there was no need for gender correction.
|
Table 1. Bias in the prediction of the LW from the HG with the "Creole of Guadeloupe goat equation" applied to data published |
|||||
|
Breed |
N data |
Data type |
Bias (kg) |
Bias (percent of LW) |
Reference |
|
Beetal |
5 |
Mean |
–1.63 |
–5.4 |
Fida (2006) |
|
Bengal |
2 |
Mean |
1.29 |
10.4 |
Khan (1992) |
|
Borno |
72 |
Mean |
–0.347 |
–3.2 |
Mohammed (1997) |
|
Carpathian |
2 |
Mean |
–0.20 |
–1.1 |
Cighi (2008) |
|
Chaugarkha |
8 |
Mean |
–0.35 |
–4.3 |
Singh (2007) |
|
Mexico Native |
1 |
Mean |
3.12 |
10.5 |
Vargas (2007) |
|
Mexico Native*Nubian |
2 |
Mean |
5.75 |
16.7 |
Vargas (2007) |
|
Moxoto |
1 |
Mean |
–10.07 |
–50.2 |
Ribeiro (2004) |
|
Osmanabadi |
18 |
Mean |
0.23 |
3.0 |
Kochewad (2009) |
|
Rajasthan crossbred |
4 |
Mean |
0.97 |
5.4 |
Yadav (2007) |
|
Saanen |
2 |
Mean |
–1.9 |
–3.6 |
Pesmen (2008) |
|
Saanen*Boer |
3 |
Mean |
–1.35 |
–7.6 |
Menezes (2007) |
|
Tibetan |
2 |
Mean |
2.00 |
6.1 |
Shrestha (1992) |
|
Tswana |
12 |
Mean |
–2.95 |
–9.6 |
Nsoso (2004) |
|
Tswana |
6 |
Mean |
–0.12 |
–0.1 |
Nsoso (2003) |
|
West African Dwarf (WAD) |
3 |
Mean |
–0.934 |
–9.5 |
Ojedapo (2007) |
|
WAD |
7 |
Mean |
–1.55 |
–17.5 |
Fajemilehin (2008) |
|
Borno |
2 |
Mean |
–3.0 |
–52.2 |
Adeyinka (2006) |
|
Sokoto |
2 |
Mean |
–3.2 |
–59.2 |
Adeyinka (2006) |
The Creole goat equation fitted most of published data well with an adjusted R² of 0.97 (Figure 6). Because of the non-linear relationship between the HG and LW, the LW mean could be underestimated by the mean of HG, at least when the means were calculated from animals that were different in size (Nsoso et al 2004; Ribeiro et al 2004). When the HG and LW means were calculated with data from homogeneous groups they fitted very well (Mohammed and Amin 1997; Nsoso et al 2003; Kochewad et al 2009). However, some of the published data were poorly predicted by the model (Table 1) and this could be because of actual differences in the body shape or bias in the data (faulty weighing device or tape).
![]() |
Figure 6. Live weight according to Heart girth data from various goat breeds in the literature |
Moreover, the Gompertz or quadratic models fitted the dataset collected on the adult breeding goats rather poorly (adjusted R² = 0.83), probably because of the large variations in the LW due to the stage of pregnancy, which did not alter the HG. This, therefore, justified combining the HG and PG measurements.
Both models fitted the dataset evenly (adjusted R² = 0.95; Figure 7). The cross validation also yielded similar figures for the two models (adjusted R² of prediction values ranging from 0.94 to 0.95, adjusted R² of validation values ranging from 0.93 to 0.96). However, Figure 8 indicates that the quadratic model provided a narrower CI95 along the weight range than did the Gompertz model, which prefers the quadratic model for body mass estimation in breeding goats.
![]() |
Figure 7. 3-D plot of measured (*) and estimated (grey surface) live weight, quadratic model (left) and Gompertz model (right) |
The distribution of the quadratic model residuals was Gaussian (p = 0.64, Shapiro–Wilk normality test), as well as the distribution of the relative residuals (residual/fitted values, expressed as a percentage, p = 0.34). The ANOVA provided the following estimates of the effects of the BCS, which might increase the accuracy of the body mass prediction from the body measurements of the HG and PG. The goats with "A" or "B" BCS were on average 1.5% heavier than their estimated LW (i.e. +0.63 kg), whereas the goats with "C" or "D" BCS were on average 1.2% lighter (–0.44 kg), and this BCS effect was highly significant (p = 0.00014). Larger corrections would probably be expected for the animals with "A", "D" or "E" BCS, but this would require additional measurements of such animals to confirm.
![]() |
Figure 8. Width of the empiric 95% confidence interval of prediction of LW from Heart and Paunch Girth, expressed as a percentage of the estimated live weight (cross validation, 2000 re-samplings). |
Practical
The following Table 2 allows either designing a tape graduated in kg on one side
and cm on the other side, or using a standard tape and converting the HG measure
to LW. Such tape could be used for estimating the live weight of growing or male
goats up to about 50-55 kg. The same tape graduated in cm could be used for
estimating the adult goat live weight with the help of Table 3. For example, a
breeding goat with HG = 71 cm and PG = 94 cm should weigh about 29.5 kg. For the
measures falling between two values of the table, the live weight could be
estimated by interpolation.
|
Table 2: HG (cm) and LW (kg) corresponding values for male or growing goats |
|||||
|
Heart Girth (cm) |
Live Weight (kg) |
Heart Girth (cm) |
Live Weight (kg) |
Heart Girth (cm) |
Live Weight (kg) |
|
20.4 |
0.9 |
40.7 |
5.6 |
64.2 |
21 |
|
21.4 |
1 |
41.2 |
5.8 |
64.7 |
21.5 |
|
22.3 |
1.1 |
41.6 |
6 |
65.3 |
22 |
|
23.1 |
1.2 |
42.1 |
6.2 |
65.8 |
22.5 |
|
23.9 |
1.3 |
42.6 |
6.4 |
66.3 |
23 |
|
24.6 |
1.4 |
43 |
6.6 |
66.9 |
23.5 |
|
25.3 |
1.5 |
43.4 |
6.8 |
67.4 |
24 |
|
25.9 |
1.6 |
43.9 |
7 |
67.9 |
24.5 |
|
26.5 |
1.7 |
44.3 |
7.2 |
68.4 |
25 |
|
27.1 |
1.8 |
44.7 |
7.4 |
68.9 |
25.5 |
|
27.7 |
1.9 |
45.1 |
7.6 |
69.4 |
26 |
|
28.2 |
2 |
45.5 |
7.8 |
69.9 |
26.5 |
|
28.7 |
2.1 |
45.9 |
8 |
70.4 |
27 |
|
29.2 |
2.2 |
46.3 |
8.2 |
70.9 |
27.5 |
|
29.7 |
2.3 |
46.7 |
8.4 |
71.4 |
28 |
|
30.2 |
2.4 |
47.1 |
8.6 |
71.9 |
28.5 |
|
30.6 |
2.5 |
47.4 |
8.8 |
72.4 |
29 |
|
31.1 |
2.6 |
47.8 |
9 |
72.9 |
29.5 |
|
31.5 |
2.7 |
48.1 |
9.2 |
73.3 |
30 |
|
31.9 |
2.8 |
48.5 |
9.4 |
74.3 |
31 |
|
32.3 |
2.9 |
48.8 |
9.6 |
75.2 |
32 |
|
32.7 |
3 |
49.2 |
9.8 |
76.1 |
33 |
|
33.1 |
3.1 |
49.5 |
10 |
77 |
34 |
|
33.5 |
3.2 |
50.4 |
10.5 |
77.9 |
35 |
|
33.8 |
3.3 |
51.2 |
11 |
78.8 |
36 |
|
34.2 |
3.4 |
52 |
11.5 |
79.7 |
37 |
|
34.6 |
3.5 |
52.7 |
12 |
80.6 |
38 |
|
34.9 |
3.6 |
53.5 |
12.5 |
81.5 |
39 |
|
35.2 |
3.7 |
54.2 |
13 |
82.3 |
40 |
|
35.6 |
3.8 |
54.9 |
13.5 |
83.2 |
41 |
|
35.9 |
3.9 |
55.6 |
14 |
84.1 |
42 |
|
36.2 |
4 |
56.3 |
14.5 |
84.9 |
43 |
|
36.5 |
4.1 |
57 |
15 |
85.8 |
44 |
|
36.8 |
4.2 |
57.6 |
15.5 |
86.6 |
45 |
|
37.1 |
4.3 |
58.3 |
16 |
87.5 |
46 |
|
37.4 |
4.4 |
58.9 |
16.5 |
88.3 |
47 |
|
37.7 |
4.5 |
59.5 |
17 |
89.1 |
48 |
|
38 |
4.6 |
60.1 |
17.5 |
90 |
49 |
|
38.3 |
4.7 |
60.7 |
18 |
90.8 |
50 |
|
38.6 |
4.8 |
61.3 |
18.5 |
91.6 |
51 |
|
38.8 |
4.9 |
61.9 |
19 |
92.5 |
52 |
|
39.1 |
5 |
62.5 |
19.5 |
93.3 |
53 |
|
39.6 |
5.2 |
63.1 |
20 |
94.1 |
54 |
|
40.2 |
5.4 |
63.6 |
20.5 |
95 |
55 |
|
Table 3. Predicting live weight of goats from heart and paunch girth measurements |
||||||||||||||||||||
| Live weight (kg) | Paunch Girth (cm) | |||||||||||||||||||
| Heart Girth (cm) | 67 | 70 | 73 | 76 | 79 | 82 | 85 | 88 | 91 | 94 | 97 | 100 | 103 | 106 | 109 | 112 | 115 | 118 | 121 | 124 |
| 55 | 12.0 | 12.5 | 13.5 | 14.5 | 16.0 | 17.0 | 18.0 | 19.0 | 20.5 | 21.5 | 23.0 | 24.5 | 25.5 | 27.0 | 28.5 | 30.0 | 31.5 | 33.0 | 35.0 | 36.5 |
| 57 | 13.0 | 13.5 | 14.5 | 15.5 | 17.0 | 18.0 | 19.0 | 20.0 | 21.5 | 22.5 | 24.0 | 25.5 | 26.5 | 28.0 | 29.5 | 31.0 | 32.5 | 34.0 | 36.0 | 37.5 |
| 59 | 14.0 | 14.5 | 15.5 | 16.5 | 18.0 | 19.0 | 20.0 | 21.0 | 22.5 | 23.5 | 25.0 | 26.5 | 27.5 | 29.0 | 30.5 | 32.0 | 33.5 | 35.0 | 37.0 | 38.5 |
| 61 | 15.0 | 15.5 | 16.5 | 17.5 | 19.0 | 20.0 | 21.0 | 22.0 | 23.5 | 24.5 | 26.0 | 27.5 | 28.5 | 30.0 | 31.5 | 33.0 | 34.5 | 36.0 | 38.0 | 39.5 |
| 63 | 16.0 | 16.5 | 17.5 | 18.5 | 20.0 | 21.0 | 22.0 | 23.0 | 24.5 | 25.5 | 27.0 | 28.5 | 29.5 | 31.0 | 32.5 | 34.0 | 35.5 | 37.0 | 39.0 | 40.5 |
| 65 | 17.0 | 18.0 | 18.5 | 19.5 | 21.0 | 22.0 | 23.0 | 24.0 | 25.5 | 26.5 | 28.0 | 29.5 | 30.5 | 32.0 | 33.5 | 35.0 | 36.5 | 38.0 | 40.0 | 41.5 |
| 67 | 18.0 | 19.0 | 19.5 | 20.5 | 22.0 | 23.0 | 24.0 | 25.0 | 26.5 | 27.5 | 29.0 | 30.5 | 31.5 | 33.0 | 34.5 | 36.0 | 37.5 | 39.0 | 41.0 | 42.5 |
| 69 | 19.0 | 20.0 | 20.5 | 22.0 | 23.0 | 24.0 | 25.0 | 26.0 | 27.5 | 28.5 | 30.0 | 31.5 | 32.5 | 34.0 | 35.5 | 37.0 | 38.5 | 40.0 | 42.0 | 43.5 |
| 71 | 20.0 | 21.0 | 21.5 | 23.0 | 24.0 | 25.0 | 26.0 | 27.0 | 28.5 | 29.5 | 31.0 | 32.5 | 33.5 | 35.0 | 36.5 | 38.0 | 39.5 | 41.0 | 43.0 | 44.5 |
| 73 | 21.0 | 22.0 | 23.0 | 24.0 | 25.0 | 26.0 | 27.0 | 28.0 | 29.5 | 30.5 | 32.0 | 33.5 | 34.5 | 36.0 | 37.5 | 39.0 | 40.5 | 42.5 | 44.0 | 45.5 |
| 75 | 22.0 | 23.0 | 24.0 | 25.0 | 26.0 | 27.0 | 28.0 | 29.0 | 30.5 | 31.5 | 33.0 | 34.5 | 35.5 | 37.0 | 38.5 | 40.0 | 41.5 | 43.5 | 45.0 | 46.5 |
| 77 | 23.0 | 24.0 | 25.0 | 26.0 | 27.0 | 28.0 | 29.0 | 30.0 | 31.5 | 32.5 | 34.0 | 35.5 | 36.5 | 38.0 | 39.5 | 41.0 | 42.5 | 44.5 | 46.0 | 47.5 |
| 79 | 24.0 | 25.0 | 26.0 | 27.0 | 28.0 | 29.0 | 30.0 | 31.5 | 32.5 | 33.5 | 35.0 | 36.5 | 38.0 | 39.0 | 40.5 | 42.0 | 43.5 | 45.5 | 47.0 | 48.5 |
| 81 | 25.0 | 26.0 | 27.0 | 28.0 | 29.0 | 30.0 | 31.0 | 32.5 | 33.5 | 34.5 | 36.0 | 37.5 | 39.0 | 40.0 | 41.5 | 43.0 | 44.5 | 46.5 | 48.0 | 49.5 |
| 83 | 26.0 | 27.0 | 28.0 | 29.0 | 30.0 | 31.0 | 32.0 | 33.5 | 34.5 | 35.5 | 37.0 | 38.5 | 40.0 | 41.0 | 42.5 | 44.0 | 45.5 | 47.5 | 49.0 | 50.5 |
| 85 | 27.0 | 28.0 | 29.0 | 30.0 | 31.0 | 32.0 | 33.0 | 34.5 | 35.5 | 37.0 | 38.0 | 39.5 | 41.0 | 42.0 | 43.5 | 45.0 | 46.5 | 48.5 | 50.0 | 51.5 |
| 87 | 28.0 | 29.0 | 30.0 | 31.0 | 32.0 | 33.0 | 34.0 | 35.5 | 36.5 | 38.0 | 39.0 | 40.5 | 42.0 | 43.0 | 44.5 | 46.0 | 47.5 | 49.5 | 51.0 | 52.5 |
| 89 | 29.0 | 30.0 | 31.0 | 32.0 | 33.0 | 34.0 | 35.0 | 36.5 | 37.5 | 39.0 | 40.0 | 41.5 | 43.0 | 44.0 | 45.5 | 47.0 | 48.5 | 50.5 | 52.0 | 53.5 |
| 91 | 30.0 | 31.0 | 32.0 | 33.0 | 34.0 | 35.0 | 36.0 | 37.5 | 38.5 | 40.0 | 41.0 | 42.5 | 44.0 | 45.0 | 46.5 | 48.0 | 49.5 | 51.5 | 53.0 | 54.5 |
| 93 | 31.0 | 32.0 | 33.0 | 34.0 | 35.0 | 36.0 | 37.0 | 38.5 | 39.5 | 41.0 | 42.0 | 43.5 | 45.0 | 46.0 | 47.5 | 49.0 | 50.5 | 52.5 | 54.0 | 55.5 |
The HG (males and growing females) or a combination of the HG and PG (adult breeding does) provides reliable estimations of the body mass of the Creole goat.
The model parameter estimates allow either building a dedicated tape (graduated in kg LW) for the growing animals or a table (abacus) for the breeding goats.
Such tools would be cheaper and easier to implement than the various different weighing apparatus currently in use. However, the parameters presented above were fitted for the Creole goat and require validation and correction for different breeds and body shapes.
This work was achieved thanks to the INRA-PTEA Gardel team, especially T. Kandassamy, J. Gobardham, W. Troupé, S.-A. Matou, and S. Amant, who collected all the data on the Creole goats.
Abdelhadi O M A and Babiker S A 2009 Prediction of zebu cattle live weight using live animal measurements. Livestock Research for Rural Development 21, 133 http://www.lrrd.org/lrrd21/8/abde21133.htm
Adeyinka I A and Mohammed I D 2006 Relationship of liveweight and linear body measurement in two breeds of goat of Northern Nigeria. Journal of Animal and Veterinary Advances 5, 891-893
Atta M and El khidir O A 2004 Use of heart girth, wither height and scapuloischial length for prediction of liveweight of Nilotic sheep. Small Ruminant Research 55, 233-237
Cighi V, Dronca D, Oroian T, Vlaic A and Daraban S 2008 Characterization of a goat population from Transylvanian area, view by main traits of body conformation. Bulletin of University of Agricultural Sciences and Veterinary Medicine Cluj-Napoca. Animal Science and Biotechnologies 65, 148-152 http://journals.usamvcj.ro/zootehnie/article/view/771/779
Dineur B and Thys E 1986 The Kapsiki: a taurine cattle breed of the extreme north of Cameroon. 1. Introduction and body measurements. Revue d'Elevage et de Médecine Vétérinaire des Pays Tropicaux 39, 435-442 http://remvt.cirad.fr/revue/index_fr.php?annee=1986&num=3-4
Fajemilehin O K S and Salako A E 2008 Body measurement characteristics of the West African Dwarf (WAD) goat in deciduous forest zone of Southwestern Nigeria. African Journal of Biotechnology 7, 2521-2526 http://www.academicjournals.org/AJB/PDF/pdf2008/18Jul/Fajemilehin%20and%20Salako.pdf
Fida M, Hamayun K, Pervez, Muhammad Z, Gul N and Rahimullah 2006 Relationship of body weight with linear body measurements in goats. Journal of Animal and Veterinary Advances 5, 452-455
Goe M R, Alldredge J R and Light D 2001 Use of heart girth to predict body weight of working oxen in the Ethiopian highlands. Livestock Production Science 69, 187-195
Khan R I, Alam M B and Howlider M A R 1992 Relationship of body measurements with meat and skin yield characteristics in free range reared Bengal goats. Journal of Applied Animal Research 2, 105-111
Kochewad S A, Chahande J M, Kanduri A B, Deshmukh D S, Ali S A and Patil V M 2009 Effect of probiotic supplementation on growth parameters of Osmanabadi kids. Veterinary World 2, 29-30 http://www.veterinaryworld.org/Vol.2%20No.1%20Full%20Text/Effect%20of%20Probiotic%20supplementation%20on%20Growth%20parameters%20of%20Osmanabadi%20Kids.pdf
Kunene N W, Nesamvuni A E and Nsahlai I V 2009 Determination of prediction equations for estimating body weight of Zulu (Nguni) sheep. Small Ruminant Research 84, 41-46
Mekonnen H M and Biruk T 2004 Heart girth-body weight relationship in two Ethiopian zebu breeds. Revue de Medecine Veterinaire 155, 512-515
Menezes J J L d, Goncalves H C, Ribeiro M S, Rodrigues L, Canizares G I L, Medeiros B B L and Giassetti A P 2007 Performance and body measurements of purebred and crossbred goat kids at different ages. Revista Brasileira de Zootecnia 36, 635-642 http://www.scielo.br/scielo.php?script=sci_arttext&pid=S1516-35982007000300017&lng=en&nrm=iso
Mohammed I D and Amin J D 1997 Estimating body weight from morphometric measurements of Sahel (Borno White) goats. Small Ruminant Research 24, 1-5
Mosteller F and Tukey J W 1987 Chapter 15. Data analysis, including statistics. In: CRC-Press (Ed.), The Collected Works of John W. Tukey: Philosophy and Principles of Data Analysis 1965-1986 pp. 601-720
Nsoso S J, Aganga A A, Moganetsi B P and Tshwenyane S O 2003 Body weight, body condition score and heart girth in indigenous Tswana goats during the dry and wet seasons in southeast Botswana. Livestock Research for Rural Development 15, article 5 http://www.lrrd.org/lrrd15/4/nsos154.htm
Nsoso S J, Podisi B, Otsogile E, Mokhutshwane B S and Ahmadu B 2004 Phenotypic characterization of indigenous Tswana goats and sheep breeds in Botswana: continuous traits. Tropical Animal Health and Production 36, 789-800
Ojedapo L O, Adedeji T A, Olayeni T B, Adedeji O S, Abdullah A R and Ojebiyi O O 2007 Influence of age and sex on body weight and some body linear measurements of extensively reared West African Dwarf goats in derived savannah zone of Nigeria. Journal of Animal and Veterinary Advances 6, 114-117
Oke U K and Ogbonnaya E O 2011 Application of Physical Body Traits in the Assessment of Breed and Performance of WAD Sheep in a Humid Tropical Environment. Livestock Research for Rural Development 23, Article #24 http://www.lrrd.org/lrrd23/2/oke23024.htm
Pesmen G and Yardimci M 2008 Estimating the live weight using some body measurements in Saanen goats. Archiva Zootechnica 11, 30-40 http://www.ibna.ro/arhiva/AZ%2011-4/AZ%2011-4%2003%20Pesmen%20%20Yardimci.pdf
R_Development_Core_Team 2009 R: A language and environment for statistical computing. http://www.R-project.org
Ribeiro M N, Oliveira J C V, Rocha L L, Alves A G C, Carvalho F F R and Sereno J R B 2004 Characterization, evaluation and conservation of the Moxoto goat breed in Pernambuco, Brazil. II Simposio Iberoamericano Sobre Recursos Geneticos Locales y el Desarrollo Rural Sustentable, Coro, Venezuela, 2-7 Diciembre 2001. Asociacion Latinoamericana de Produccion Animal, pp. 54-58
Shrestha N P, Aryal I K and Tamang B B 1992 Performance of Chyangra (mountain goat) under sedentary system. Veterinary Review (Kathmandu) 7, 53-54
Singh C V and Barwal R S 2007 Chaugarkha goat - a unique strain of goat in Central Himalayan ecosystem. Indian Journal of Small Ruminants 13, 61-64
Sowande O and Sobola O 2008 Body measurements of west African dwarf sheep as parameters for estimation of live weight. Tropical Animal Health and Production 40, 433-439
Valdez C A, Tupas D G A and Matias J B 1997 Determination of body weight in sheep using external body measurements. Philippine Journal of Veterinary Medicine 34, 25-31Vargas S, Larbi A and Sanchez M 2007 Analysis of size and conformation of native Creole goat breeds and crossbreds used in smallholder agrosilvopastoral systems in Puebla, Mexico. Tropical Animal Health and Production 39, 279-286
Yadav C M and Bhimawat B S 2007 Biometrics of the growing crossbred goats in the tribal belt of Rajasthan. Indian Journal of Small Ruminants 13, 89-91
Received 5 February 2010; Accepted 15 August 2011; Published 1 September 2011