Livestock Research for Rural Development 23 (12) 2011 Guide for preparation of papers LRRD Newsletter

Citation of this paper

Value addition in honey and poverty reduction in ASALs: Empirical evidence from Baringo County, Kenya

R M Berem, G O Owuor and G Obare

Department of Agricultural Economics and Agribusiness Management,
Egerton University, P.O. Box 536, 20115 Egerton, Kenya
rismaks@yahoo.com

Abstract

Using survey data from 110 randomly selected honey producers from two divisions in Baringo County, this paper analyzes the constraints and drivers of value addition in honey, an economic activity with a potential to improve household livelihoods but whose development has remained rudimentary. Baringo County experiences frequent and prolonged droughts that impact on household livelihood assets. Livelihoods have traditionally been agro-based but due to variations in climatic conditions, crop production has been very low. Livestock production has also been adversely affected by these trends, leaving honey production as a viable alternative for smallholder farmers as it is less dependent on, or affected by climatic variations, and is not resource intensive. This study uses Heckman two stage and the logistic regression models to determine the extent of value addition contingent on the decision of a honey producer to participate in value addition activity, and to assess the link between honey value addition and household poverty status, respectively.

The results show that the decision to add value is positively and significantly influenced by the amount of honey harvested, group membership and amount of hours spent on off-farm activities, while it is negatively influenced by the age of the farmers and the education level of the household head. Value addition contributes to the reduction of poverty through the improvement of household incomes. It is apparent that measures need to be established that would encourage and facilitate the practice of value addition if the welfare of the poor rural population is to be improved.

Key words: Africa, ASALs, drought, poverty reduction, value addition


Introduction

 Bee-keeping in Kenya is practiced in the arid and semi-arid lands (ASALs) both by individual small-scale farmers and common interest groups. According to the Ministry of Livestock (MoLFD) (2001), bee keeping can be carried out successfully in 80% of the country. It is especially suitable in ASALs where other modes of agriculture are not very possible. Bee-keeping contributes to incomes as well as food security through provision of honey, beeswax, proppolis, bees’ venom and royal jelly in medicine.

Kenya’s potential for apiculture development is estimated to be over 100,000 metric tonnes of honey and 10,000 metric tonnes of beeswax per annum. However, at the moment only a fifth of this potential is being exploited (GoK 2008). Despite the downward trend in global production of honey, the Kenyan case has been different. Production in the country has steadily grown from 17,259 metric tonnes in 1994, 19,071 in 1996 and 22,803 in 2000 (MoP 1997-2001). Earnings from sale of honey compared favorably with other activities in the livestock-rearing sector. However, over 90% of beekeepers use traditional methods that presumably lead to honey of low quality (Mbae 1999). Besides, lower earnings were ascribed to inadequate marketing infrastructure.

Poverty and food insecurity have defined the livelihood of people in Baringo County for a long time whose livelihoods are mainly agro-based, dependent on crop and livestock production. However, due to poor climatic conditions, characterized by frequent and prolonged droughts, crop production has been very low. Livestock production has also been adversely affected by these trends, leaving honey production as the only viable option for smallholder farmers as it is less dependent on, or affected by climatic variations, and is not resource intensive The majority of the farmers produce and sell raw honey and, therefore, received low value from honey such that they cannot even cover production costs. It is not yet clear firstly, why there is limited value addition by farmers given the potential benefits and the available market and, secondly, whether market orientation of apiculture through value addition can mitigate poverty effects in the area and other similar areas. This study aims to address these issues (which issues?) in order to contribute to the existing body of knowledge on the apiculture sub-sector and its linkage to poverty eradication, especially in ASALs of Kenya.


Research Design and Methodology

The theoretical model

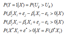
 It was assumed that a huge potential for honey processing existed and that households that exploited this potential were well-off in terms of welfare as indicated by poverty status. Likewise, the decision to engage in value addition was predicated on higher expected utility. An interaction of these two decisions would be reflected on the welfare status subsequently. The decision on whether or not to add value is considered under the general framework of utility or profit maximization (Norris and Batie 1987; Pryanishnikov and Katarina 2003). Within this framework, economic agents, in this case, smallholder honey producers will decide to add value if the perceived utility or net benefit from this option was significantly greater than was the case without it. Although utility is not directly observed, the actions of economic agents are observed through the choices they make. Suppose that Uj and Uk represent a household’s utility for two choices, which are, correspondingly, denoted by Yj and Yk. The linear random utility model could then be specified as in equation 1:

 

                                                                                     (1)

where Uj and Uk are perceived utilities of value addition and non-value addition choices j and k, respectively, Xi the vector of explanatory variables that influence the perceived desirability of each choice, βj and βk utility shifters, and ɛj and ɛk are error terms assumed to be independently and identically distributed (iid) (Greene 2000). In the case of value addition in honey, if a household decides to use option j, it follows that the perceived utility or benefit from option j is greater than the utility from other options (say k) depicted as in equation 2:

 

                                                                                   (2)

 

The probability that a household will choose to add value, i.e., choose method j instead of k could then be defined as:

 

                                                                                                  (2.3)

 

 where P is a probability function, Uij, Uik, and Xi are as defined above,

e* = ej ek a random disturbance term,

 a vector of unknown parameters that can be interpreted as a net influence of the vector of independent variables influencing adaptation, and F(b* Xi) cumulative distribution function of e* evaluated at b* Xi. The exact distribution of F depends on the distribution of the random disturbance term, e*. Depending on the assumed distribution that the random disturbance term follows, several qualitative choice models can be estimated (Greene 2000). Any household decision on the alternative choices is underpinned by this theoretical framework, the realization of which can be implemented by a critically thought out conceptual framework.

 

Empirical model

 

To address objective two of this study in which the practice and extent of value addition in Baringo County was to be assessed, the Heckman two stage selection model was used. As mentioned earlier, it was stipulated that the farmers’ behaviour is driven by the need to derive maximize the utility associated with the practice of value addition. Depending on the farmers’ perception on the utility they are likely to derive from the practice, a choice is made, either to add value or not. This farmers’ behaviour that leads to a particular choice is modeled in a logical sequence, starting with the decision to add value, and then followed by a decision on the extent of the value addition. Since the farmer’s utility maximization behaviour cannot be observed, the choice made by the farmer is assumed to represent the farmer’s utility maximization behaviour. Based on the nature of these decisions, it is justified to use the Heckman two stage selection model whose estimation involves two stages. In the first stage, the decision to add or not to add value was assessed using a probit model. The choice of this model is based on the fact that the decision to add value is discreet; it is either one adds value or not. Additionally, the study assumed a normal distribution and, therefore, the choice of the probit model. The reasoning behind the two stage approach was that the decision on the extent of value addition of honey (the volume of value added honey) is usually preceded by a decision to engage in the process of value addition. The probit model used in the first stage is as specified in Equation 3. 

                                                                                          (3)

 

where Y*is an indicator variable equal to unity for households that add value, φ(.) the standard normal distribution function, βs the parameters to be estimated and Xs the determinants of the choice. When the utility that household j derives from value addition is greater than 0, Yi takes a value equal to 1 and 0 otherwise. It follows therefore, that (equation 4):

 

                                                                                                                           (4)

 

where Y*i is the latent level of utility the household gets from value addition and Vi~N(0,1).

 

 Given this assumption, it follows that:

 

 if  Y*i > 0  and    Yi = 0    if                                                                                          (5)

 

Empirically, the model can be represented as in equation 6:

 

Y = bj  Xi + ɛi

                                                                                                                                (6)

where Y is the probability of a household value adding given farm and farmer characteristics Xi. and ɛi the error term.

 

In the second step, the Inverse Mills Ratio (IMR) was added as a regressor in the extent of value addition equation to correct for potential selection bias. It was expected that the extent of value addition was self-selected in the sense that only some farmers choose to add value and, therefore, the decision of the extent of value addition was preceded by the decision to add value. Consequently, this raises an empirical problem of self-selection. To reconcile this problem, the decision to add value endogenously in this study was treated to control for the potential sample selection problem. First the determinants of the decision to add value were estimated, and then the IMR from the selected equation was used as an independent variable in the target equation that was used to assess the determinants of the extent of value addition as shown in equation 7:

 

                                                                                                      (7)

 

where E is the expectation operator, Zi the (continuous) extent of value  measured by the proportion of value added honey output, x a vector of independent variables influencing the extent of value addition and β a vector of the corresponding coefficients to be estimated, the estimated IMR and . Therefore, Zi can be expressed as in equation 8.

 

                                                                                                                          (8)

 

is only observed if the farmer is doing value addition (Y=1), hence  .

 

Empirically, this can be represented as in equation 9:

 

                                                                                                                          (9)

 

where Zi is the extent of value addition given the farm and farmer characteristics,   the IMR estimated in step 1 of the Heckman model and ui the error term.

 

Equations (4) and (7) were then jointly estimated using the Heckman two stage procedure in STATA software. The variables used in the two stage Heckman selection model were as shown in Table 1.


Table 1. Factors hypothesized to influence value addition in honey

Variable

Description

Unit of measurement

Expected signs

Dependent variables

Valadd

Farmer adds value or not

1= adding value, 0=else

 

Extvaladd

Quantity of honey  value added

 Kilograms

 

Independent Variables

Prkg

Price of value added honey/ Kg

Kenya Shillings

(+)

Age

Age of the household head

Years

(-)

Totland

Total land owned by the household

Hectares

(-)

Credacess

Access to credit

Dummy(1=accessed, 0=otherwise)

(+)

Equipment

Availability of value addition

Dummy(1=yes,0=No)

 

Hhaeq

Household adult equivalent

No. of adults

(+)

Educlvl

Level of household education

Years

(-)

Gender

Gender of household head

Dummy(1=male,0 = female)

(+,-)

Totasset

Value of total household assets

KES

(-)

Hivsnow

Number of hives owned

 

(+)

Honhvest

Quantity of honey harvested

Kgs

(+)

Offhrsda

Hours spent on daily off-farm activity

Hours

(-)

Distance

Distance to the nearest local market

Km

(+)

Grpmem

If member of a group

Dummy(1=yes,0=No)

(+)

Train

If farmer attended training

Dummy(1=yes,0=No)

(+)

 Finally, to assess the contribution of value addition to poverty reduction as required for objective three, a probit model was used. Universally, chronic poverty is defined as a condition whereby the average per adult income in a given household is less than 1 US$ per day. The chronic poverty level was computed by calculating the Daily Per capita Income (DPI[1]) for each household. Denoting the DPI by X and poverty line by Z, the level of chronic poverty will be 1 if X < Z and 0 otherwise. To assess the influence of value addition and other socio-economic factors on the level of household poverty, a probit model was used. The model is given as in equation 10:

                                                                                        (10)

where Zi  is an indicator variable equal to 1 if a household is chronically poor, and zero otherwise. φ(·) the standard normal distribution function, βs the parameters to be estimated and Xs the determinants of the dependent variable, in this case the level of household poverty.

 

The functional form of the probit model is specified as in equation 11:

 

                                             (11)

 

where, Z is the probability for a household falling below the chronic poverty line αij, βij , δij, θij and ξij are vectors of parameters to be estimated, p the probability of the event occurring, Xij   a vector of household socioeconomic characteristics which include, age, gender, household size, education level, value of household assets, off-farm employment, Wij is a matrix of farm characteristics such as farm size and number of bee hives, Vij a vector of institutional factors, including access to credit, extension services, non-governmental organizations (NGOs) and social capital (group membership and participation), Uij a vector of market characteristics such as distance to the market, Tij a vector of additional income after value addition and ei the error term, ei~N(0,1). The dependent variable was a dummy with those households living below a dollar per day per person represented by (1), implying they were chronically poor while those living above a dollar a day represented with (0) for the converse. Consequently, factors that negatively influenced the dependent variable were those that reduced poverty while those with a positive influence increased the prevalence of poverty.

 

Table 2 presents explanatory variables with their hypothesized effects on chronic poverty and, as indicated, value addition was theoretically expected to reduce poverty through increased income due to higher prices, while the older the decision maker the less productive and, consequently, chronically poor such a household is expected to be. Access to education as well as exposure to agricultural workshops was hypothesized to reduce chronic poverty, implying that the more educated the decision maker the better skilled and productive he or she is and, subsequently, the less poor the household. 


Table 2. Description and measurement of variables to be used in the probit model

Variable

Description

Unit of measurement

Expected sign.

Dependent variable

Level of poverty

1= chronic poverty, 0=else

 

Independent variables

 

 

 

Valadd

Decision to add value 

Dummy (1=Yes, 0=No)

(-)

 

 

 

 

Yrschool

Level of household education

Years

(-)

Totlu

Total Tropical Livestock Units

Years

(-)

Hhnums

Number of household members

 

(+,-)

Totassets

Value of total household assets

KES

 (-)

Offhrsda

Hours spent on daily off-farm activity

Hours

(-)

Grpmem

If member of self- group

Dummy(1=yes,0=No)

(-)

 Female involvement in decision making was hypothesized to have either positive or negative effects on chronic poverty. Traditionally, no theoretical foundations exist on gender and poverty. Nonetheless, in Africa more women than men are involved in rural economic activities like farming, pointing at possible negative effects on chronic poverty. Concurrently, women in Africa largely have no rights to property, which infringes on their access to the input and credit markets, which drags their households towards poverty.

A study by Jayne et al (2007) indicated that access to land played an important role in rural household welfare. Constant access to transfers, livestock assets and engagement in off-farm activities presented households with additional income for productive investment and consumption smoothing, both which are expected to have a negative impact on chronic poverty. Farmers located in the higher tropics where rainfall was more reliable were hypothesized to perform better in other agricultural activities like crop production and experienced lower poverty levels as compared with their counterparts in marginal areas who only depend on honey production. However, with respect to distance to the market, farmers located far away from product markets were expected to be poorer due to high transaction costs that infringed on their farm incomes.

Data

The target population of the study was smallholder bee-keepers comprising value adders and non-value adders. Multistage sampling was used in this study. The two divisions (Radat and Marigat) were first purposively sampled, because they had the highest production levels of honey in the County. Second, the locations with the largest number of honey producers were purposively selected from each division. Third, the population of smallholder honey producers in the selected locations in each division was stratified according to value adders and non-value adders based on the sampling frames generated by the aid of Provincial Administration leaders. A sample was drawn, consisting of both farmers involved in value addition and those not involved.  


Results and Discussion

Determinants of adoption and extent of honey value addition

 The Heckman two step regression results are presented in Table 3. The practice of honey value addition was found to be significantly influenced by household heads’ age, the amount of time spent on off-farm activities, group membership, household education level, measured by the years of schooling and household size.

 

The number of hives owned acts to represent the amount of honey harvested or the amount that a farmer anticipated to harvest come the harvesting season. The larger the number of hives owned, the higher the quantity of honey harvested and, consequently, the participation in value addition and vice versa. Farmers with larger quantities of honey were more likely to engage in value addition as they saw it as profitable unlike their colleagues who harvested smaller quantities of honey. This factor was reported as a major constraint to value addition with those who harvested little amounts indicating that they could not participate in value addition majorly because they viewed it as a waste of time and finances.


Table 3. Factors that influence adoption and extent of value addition in honey

Variable

Target Equation

Selection Equation

Coefficient

z

P>|z|

Marginal effects

z

P>|z|

Age

-2.86

-2.29

0.02

-3.26

-2.70

0.07

Tot asset

-0.00

0.99

0.32

 

 

 

Credacess

19.43

0.90

0.37

16.39

0.78

0.43

Hhaeq

20.15

2.80

0.01

20.15

2.80

0.01

Distance

-0.98

-0.64

0.53

-0.94

-0.62

0.53

Honhvest

-0.03

-1.24

0.22

0.00

-0.04

0.97

Totland

-0.97

-2.47

0.01

-1.00

-2.57

0.01

Grpmem

40.07

1.74

0.08

1.67

3.02

0.003

Yearscho

5.05

0.82

0.41

3.15

0.54

0.59

Price

-0.01

-0.18

0.86

 

 

 

Hivsnow

2.32

5.08

0.00

2.23

4.96

0.00

Train

1.43

0.08

0.94

-0.58

-0.03

0.98

Off-farm employnt

0.35

0.28

0.78

0.81

0.74

0.46

Lambda

 

 

 

15.45

0.50

0.62

Rho

 

 

 

0.42

 

 

Sigma

 

 

 

36.89

 

 

The age of the household head also played a key role in determining the participation of a household in value addition. The older the household head, the less likely that a household would practice value addition. This arose from the general fact that as the decision maker grew older, they became risk averse and were not willing to venture into new fields or take part in activities because of the perceived risks involved. Furthermore, older members were less energetic and, therefore, found it hard engaging in activities that required more energy such as value addition.

Group membership was also another factor in determining participation in value addition. Most farmers who were members of farmers’ groups participated in value addition. This is in line with major empirical findings. Farmers in groups may have easy access to skills and information which in turn enabled them to diversify their income sources, and value addition is one such off-farm activity. Social capital (in this case group membership) is a key instrument for exchange of ideas and in essence, farmers benefit both economically and socially if they belong to groups. This happens because the Government and donors target not individual farmers but farmer groups and cooperatives. Such groups are given grants and loans that enable them to engage in more off-farm activities, unlike their counterparts. Moreover, farmers in groups had a strong bargaining power when marketing their products and in turn received better returns for their produce. This is in addition to penetrating wider markets and being offered contracts by major buyers. According to Shiferaw et al (2006), collective marketing allowed small-scale farmers to spread the costs of marketing and transportation, improve their ability to negotiate for better prices and increase their market power. As is the case in many rural areas, farmers acting individually face high transaction costs because they deal in small quantities. However, there is hope for farmers as per a report[2] by Kindness and Gordon (2001). A strong justification for farmer organization according to (what?) is their potential to play a critical role in both the delivery and marketing of agricultural outputs that would help reduce transaction costs related to the marketing of agricultural output (Doward et al 2004).

 

The larger the size of land owned, the less likely that a household would engage in value addition. This can be explained by the fact that owners of larger pieces of land tended to devote more of their time in other farm activities and very little to bee-keeping. The extent of value addition was influenced by many factors including age, adult equivalence, amount of honey harvested, total land owned, group membership and number of household membership. Household adult equivalents had a positive influence on the extent of value addition, implying that the larger the household in terms of adult equivalents, the higher the number of adults in a household, and the higher the value addition done by the household. This could be related to the decisions being made pertaining to value addition and the energy required to undertake the activity.

 

The number of hives owned by the household, just like in the decision to add value, has a positive influence on the extent of value addition. This indicates that a farmer who has more hives, harvests more honey is not only likely to add value but will take a step further and add value to a larger percentage of that honey [rephrase sentence as it seems to be ambiguous]. This can be explained by the theory of economies of scale. One who adds value to more honey is likely to incur reduced costs per unit and in turn is likely to benefit more from the value addition exercise because they are able to sell in bulk. This puts them in a position where they can negotiate for better prices and contracts with major buyers in which case therefore, are assured of a constant market.

 

Ownership of land was another key factor that negatively influenced the extent of value addition. If an individual owned huge tracts of land, the chances of them engaging in value addition were low. If at all they are involved in value addition, the possibility of them adding value to large amounts of honey was also low. This can be explained by the fact that such farmers were normally involved in so many other on-farm activities like livestock rearing and crop farming, with little time left for value addition of honey. If the returns realized from those other activities were more than what they got from honey, farmers were likely to divert all their time and energies on those other areas and very little, if any, on value addition.

 

Group membership positively contributed to the extent of value addition, and this can be explained by the fact that individuals in groups were easily influenced by their associates than those in isolation. Group members  had a chance to exchange ideas and learnt about the benefits of value addition and were, consequently, willing to take the extra step of adding value to more of their honey. Also, group members received training on diverse issues, among them, value addition and were, therefore, willing to take up value addition and increase its extent as a means of improving their farm income and alleviating their poverty. Besides, members of farmer groups were in a better position to pool their resources together and take advantage of economies of scale. In addition, they accessed wider markets and higher prices unlike their colleagues who were not in groups. 

Contribution of value addition to household poverty

 

The poverty status of the people in the study area was categorized into  chronically poor and non-poor. A logistic regression was used in determining the factors that contributed to the poverty status of the people. Among the key factors highlighted were; number of household members, education level, total household assets, off-farm income, total livestock units and the decision to add or not to add value, group membership and additional income obtained from honey value addition. The results of the logistic regression model used to determine the factors that influenced the level of household poverty are presented in Table 4. 


Table 4. Logistic regression results on determinants of poverty levels (Dependent variable: Level of poverty)

Variable

Odds Ratio

Marginal effects

z

P>|z|

Number of household members

4.28

0.18

3.83

0.00

Log of years in school

0.03

-0.45

-1.62

0.06

Log of total household assets

0.32

-0.14

-1.86

0.06

Log of off-farm income

0.14

-0.24

-4.41

0.00

Total livestock units

0.87

-0.02

-3.20

0.001

Decision to add value(1 = yes,0 = no)

0.10

-0.31

-1.98

0.05

Group membership

0.41

-0.11

-1.23

0.22

Additional income per kg

1.01

 0.001

1.69

0.09

The decision to add value was positive and significantly influenced the probability of a household experiencing reduced poverty.  Value addition has been found to reduce poverty levels through its positive contribution to welfare indicators, including household income and food security. A household that adds value to its honey was guaranteed higher prices as processed honey fetched about 3000% higher prices than crude honey. This in turn increased the income of the households and, in essence, such households were able to exit chronic poverty as they were able to access more of lives’ necessities.

 

An increase in a household’s Tropical Livestock Units (TLUs) by one unit reduced the probability of a household becoming chronically poor by 0.02 units, because a household with more livestock was traditionally wealthy. In an arid area like Baringo County where the major source of livelihood was livestock keeping, farmers who owned large herds of livestock received more income from the sale of the animals and their products and, therefore, reduced poverty in their households. It was also apparent that off-farm income, years in school and a household’s total assets reduced the level of poverty. Involvement in off-farm income played a key role in reducing the probability of a household becoming chronically poor. This is especially true for the County, which falls among the ASALs of Kenya. An increase in off-farm income by one unit, for instance, reduced the level of chronic poverty by 4.3 units. An increase in a household’s assets by 1 unit reduced the level of poverty by 2.02 units. This implied that a household with more assets was likely to be wealthier, with a higher income and, consequently, lowered levels of poverty.

 

Education level had an inverse relationship with poverty. Additionally, people with at least secondary level education were less affected by the increase in poverty than those with lower levels of schooling. In agreement with these results Mwabu et al (2002) reported that education was the most important determinant of poverty. The authors found that poverty rates among household heads with no education were, correspondingly, 72.02% and 69.05% for rural and urban households, which were highest among all groups. Concerning education level of bee keepers, a large percentage (45.9%) of the respondents had not received any, 37.6% had acquired some primary education while 12.8% had gone to secondary. A small proportion (3.7%) had attained tertiary level of education, which included technical Colleges and Universities.


Conclusions


Acknowledgements

The authors wish to greatly thank Egerton University, Njoro Kenya, for provision of facilities to undertake this study.


References

Dorward A, Kydd J, Morrison J and Uray I 2004 A policy agenda for pro-poor agricultural growth. World Development 32(1): 73-89.

 

GoK 1997 District Development Plan 1997-2001, Baringo District. Government Printer, Nairobi, Kenya.

 

Greene W H 2000 Econometric Analysis. 4th edition, Prentice Hall Publishers Ltd., New Jersey, USA. 

Jayne T S, Burke W J, Freeman H A and Kristjanson P 2007 Factors associated with farm households’ movement into and out of poverty in Kenya: The rising importance of livestock. In: Proceedings of the International Workshop hosted by the Chronic Poverty Research Centre and the Overseas Development Institute on “Understanding and Addressing Spatial Poverty Traps, 29 March, 2007, Spier Estate, Stellenbosch, South Africa.

Kindness H and Gordon A 2001 Agricultural Marketing in Developing Countries: The role of NGOs and CBOs. Natural Resources Institute.


Mbae R M 1999
The growth of Kenya’s bee keeping industry. In: Raina S K, Nyagode B, Adolkar K, Kioko E and Mwanycky S W (eds), Serriculture and Apiculture for the New Millenium. Science Press, ICIPE, Nairobi, Kenya, pp. 132-134.

 

MoLFD 2001 Ministry of Livestock and Fisheries Development. Annual Report, Animal Production Division, Nairobi, Kenya.

 

MoPND 2001 Second Report on Poverty in Kenya, 1997-2001, Vol. II. Poverty and Social Indicators. Ministry of Planning and National Development, Nairobi, Kenya.

 

Mwabu G, Kimenyi M S, Kimalu P, Nafula N and Manda K D 2002 Predicting Household Poverty: A Methodological Note with a Kenyan Example. Discussion Paper Series, No. 12, Social Sector Division, Kenya Institute for Public Policy Research and Analysis. 
 

Norris E and Batie S 1987 Virginia farmers’ soil conservation decisions: An application of Tobit analysis. Southern Journal of Agricultural Economics 19(1): 89–97.

 

Pryanishnikov I and Katarina Z 2003 Multinomial logit models for Australian labor market. Australian Journal of Statistics 4: 267–282.

 

Shiferaw B, Obare G and Muricho G 2006 Rural Institutions and Producer Organizations in Imperfect Markets: Experiences from Producer Marketing Groups in Semi-Arid Eastern Kenya. CAPRI Working Paper 60. Also jointly released as ICRISAT Socio-Economics and Policy Working Paper Series, No.23, Patancheru, Andhra Pradesh.


 

[1] Daily Percapita Income (DPI) = (Total household income per day/adult equivalents per household)

[2] This report stipulates that farmer marketing groups can help reduce these costs by facilitating input and output market access and service delivery and in so doing promote commercial activities and technological change in agriculture. The scenario is no different in Baringo County where a large percentage of farmers who added value were members of farmer groups. They reported benefiting from value addition because they sold their products through their groups, which had contracts with major buyers like CITES Enterprise, Honey Care Africa and Baraka Agricultural College and, consequently, got good prices as well as prompt payments for their products.


Received 4 June 2011; Accepted 3 October 2011; Published 2 December 2011

Go to top